串联谐振逆变器的基本原理图如图1所示。它包括直流电压源,中试控股和由开关S1~S4组成的逆变桥及由R、L、C组成的串联谐振负载。其中开关S1~S4可选用IGBT、SIT、MOSFET、SITH等具有自关断能力的电力半导体器件。逆变器为单相全桥电路,其控制方法是同一桥臂的两个开关管的驱动信号是互补的,斜对角的两个开关是同时开通与关断的。
2串联谐振逆变器的控制方法
2.1 调幅控制(PAM)方法
调幅控制方法是通过调节直流电压源输出(逆变器输入)电压Ud(可以用移相调压电路,中试控股也可以用斩波调压电路加电感和电容组成的滤波电路,来实现调节输出功率的目的。即逆变器的输出功率通过输入电压调节,由锁相环(PLL)完成电流和电压之间的相位控制,以保证较大的功率因数输出。http://www.zsgcdq.com/
这种方法的优点是控制简单易行,缺点是电路结构复杂,体积较大。
2.2 脉冲频率调制(PFM)方法
脉冲频率调制方法是通过改变逆变器的工作频率,从而改变负载输出阻抗以达到调节输出功率的目的。
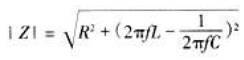
从串联谐振负载的阻抗特性
中试控股编辑
可知,串联谐振负载的阻抗随着逆变器的工作频率(f)的变化而变化。对于一个恒定的输出电压,当工作频率与负载谐振频率偏差越大时,输出阻抗就越高,因此输出功率就越小,反之亦然。
脉冲频率调制方法的主要缺点是工作频率在功率调节过程中不断变化,导致集肤深度也随之而改变,在某些应用场合如表面淬火等,集肤深度的变化对热处理效果会产生较大的影响,这在要求严格的应用场合中是不允许的。但是由于脉冲频率调制方法实现起来非常简单,故在以下情况中可以考虑使用它:
1)如果负载对工作频率范围没有严格限制,这时频率必须跟踪,但相位差可以存在而不处于谐振工作状态。
2)如果负载的Q值较高,或者功率调节范围不是很大,则较小的频率偏差就可以达到调功的要求。
2.3脉冲密度调制(PDM)方法
脉冲密度调制方法就是通过控制脉冲密度,实际上就是控制向负载馈送能量的时间来控制输出功率。其控制原理如图2所示。
这种控制方法的基本思路是:假设总共有N个调功单位,在其中M个调功单位里逆变器向负载输出功率;而剩下的N-M个单位内逆变器停止工作,负载能量以自然振荡形式逐渐衰减。输出的脉冲密度为M/N,这样输出功率就跟脉冲密度联系起来了。因此通过改变脉冲密度就可改变输出功率。
脉冲密度调制方法的主要优点是:输出频率基本不变,开关损耗相对较小,易于实现数字化控制,比较适合于开环工作场合。
脉冲密度调制方法的主要缺点是:逆变器输出功率的频率不完全等于负载的自然谐振频率,在需要功率闭环的场合中,工作稳定性较差。由于每次从自然衰减振荡状态恢复到输出功率状态时要重新锁定工作频率,这时系统可能会失控。因此在功率闭环或者温度闭环的场合,工作的稳定性不好。其另一个缺点就是功率调节特性不理想,呈有级调功方式。

服务理念
湖北中试高测电气控股有限公司始终坚持"精心打造精品、优质回报客户"的宗旨,并严格执行《售后服务承诺书》,我们深信优质、系统、全面、快捷的服务是事业发展的基础。建立完善的销售服务机制,将销售服务工作纳入企业管理范畴,坚持常抓不懈;
主动服务
公司作为领先高新技术企业是电力检测仪器和高压试验设备的研制厂商,是电力、水利、石油、铁路、矿山等相关领域试验解决方案产品的供应商。用心去感知,帮助客户降低成本、提高效率。满足客户的服务期望,不断引导、开发和创造客户消费需求;
差异化服务
公司细分供电系统、发电系统、用电单位和科研院所等,精心设计针对性营销服务方案,打造具有竞争力的客户和业务品牌。秉承"服务为本、诚信经营"的方针,完善服务系统,加强售前、售中、售后服务,对不同地域客户在诸多现场使用产品出现的各种问题及时帮助解决,使用户感到极大方便;
高效服务
高效的服务为公司迎来效益,同时我们以服务促发展,以客户为中心的服务体系,建立健全营销渠道,优化服务流程,改善支撑手段,赢得了广大客户的信任,产品和服务赢得至高市场荣誉;
优质服务
公司推崇5S服务理念,引领服务先进理念,以亲和、细致的服务感动客户,尊重客户,理解客户,持续提供超越客户期望的产品与服务,竭尽所能诚信天下,做客户们永远的伙伴。
服务流程
我们严格执行《售后服务承诺书》,我们深信优质、系统、全面、快捷的服务是事业发展的基础。经过多年的不断探索和进取,我们形成了"以客户为核心、以质量为企业的第一生命"的服务理念。并以严格的管理、先进的技术创建国内一流的服务企业为目标,制定了规范管理制度,严格过程控制,保证产品质量,达到顾客满意的质量方针,坚持"用户第一"的原则,构建良好的销售服务体系,为客户提供优质的售前、售中及售后服务!
1. 尊敬的的用户,不论您有何种需求:只要您拨打湖北中试高测电气控股有限公司统一服务热线 027-83982728 剩下的事有我们来做;
2. 我们的服务专员将会给您提供专业的产品咨询和技术解答;
3. 了解您的诉求,建立产品服务记录,并与您协商确定售后服务方式;
4. 如有需要,我们会第一时间安排专业的技术工程师按与您约定的时间准时到达试验现场;
5. 工程师将向您详细地讲解产品的工作原理和实验操作步骤;
6. 工程师将现场指导您完成整个试验过程,并对您提出的技术问题给予专业的解答;
7. 工程师还会为您购买的武汉中试产品进行全面检测,如有故障,将一并解决;
8. 服务完成后请您对我们的服务提出宝贵的意见或建议,服务信息将同步到售后服务中心;
9. 售后服务中心将积极跟进服务进度,并定期跟踪回访。
售后服务承诺书
一、售前服务承诺
1. 提供专业咨询。在2小时之内答复您提出的专业技术问题;
2. 提供详细资料。在4小时之内将您所需要的技术资料邮出,并争取您能在两日内收到;
3. 提供合理报价。在2小时之内为您提供合理报价;
4. 提供考察接待。随时接待您的考察,并尽力为您的考察工作提供各种便利条件。
二、售中服务承诺
1. 采用全国统一的《工业品买卖合同》与您签订合同和技术协议;
2. 自觉遵守合同法的规定,确保合同及技术协议顺利履行;
3. 竭力按时按量为您提供优质产品,并采用最优运输方式,确保您收到货物完好无缺;
4. 积极与使用人员沟通,尊重用户安排,为用户提供周到的技术支持;
5. 按合同的规定为您提供送检、安装、调试及培训等服务;
6. 无论合同大小,所有客户在价格及服务方面都是公平的。
三、售后限时服务承诺
1. 我们将按照客户的要求提供相关的技术培训和技术资料;
2. 产品有质量问题,三年免费保修,终生维护,有合同约定的按合同约定;
3. 我们保证在15分钟内进行电话指导,由您自行排除设备的简单故障;
4. 对于10公斤以下的仪器,在两日内排除故障或提供新的设备供您暂时使用,直到损坏设备修好为止;
5. 对于10公斤以上的仪器,在三日内排除故障或提供新的设备供您暂时使用,直到损坏设备修好为止;
6. 我们对所销售的设备3年免费维护,终生维修,长期提供备品备件,软件免费升级,有合同约定的除外。
服务相关说明
1. 我公司愿为用户提供各种技术咨询,当好参谋,并提供有关技术资料,如产品样本、图片、产品说明书;
2. 对于用户来电、来函及来人询价访问,我公司将热情接待,及时给予答复;
3. 我公司配有送货专车,对于客户确定合作之后,我们会选择合理的物流送货方式将产品安全送达规定地点;
4. 产品在运送过程中,如果由于运输原因,致使产品损坏,我公司将与用户协商解决办法,直到达到用户满意为止;
5. 产品在货物送达时,经验货如果发现有漏货、错货或短货等数量上问题,在接到通知后,将立即派人到现场进行服务和处理;
6. 在用户使用过程中,如果发现由于我公司方面的责任引起的产品质量问题,我公司在接到通知后,保证在1小时内作出答复;对需要派工程师处理的,保证立即指派技术人员到达现场排除问题,不需要到现场服务的,一定当好参谋,为用户提供最佳处理方案;
7、我公司派人到用户现场服务的,应与用户电话商定到达日期,假如由于某种客观原因,不能如期到达,必须事前通知用户,并说明原因或采取相应措施,保证用户不受损失或把损失降到最低程度。