一、串联谐振的定义和条件
在电阻、电感、电容串联电路中,当电路端电压和电流同相时,电路呈电阻性,电路的这种状态叫做串联谐振。
可以先做一个简单的实验,如图8-20所示,将:三个元件R、L和C与一个小灯泡串联,接在频率可调的正弦交流电源上,并保持电源电压不变。
实验时,将电源频率逐渐由小调大,发现小灯泡也慢慢由 暗变亮。当达到某一频率时,小灯泡最亮,当频率继续增加时, 又会发现小灯泡又慢慢由亮变暗。小灯泡亮度随频率改变而变 化,意味着电路中的电流随频率而变化。怎么解释这个现象呢?
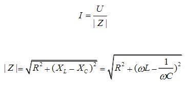
在电路两端加上正弦电压U,根据欧姆定律有
点击添加图片描述(最多60个字)编辑
二、串联谐振的特点
(1)因为串联谐振时,LCXX,故谐振时电路阻抗为
点击添加图片描述(最多60个字)编辑
(2)串联谐振时,阻抗最小,在电压U一定时,电流最大,其值为
点击添加图片描述(最多60个字)编辑
由于电路呈纯电阻,故电流与电源电压同相,
点击添加图片描述(最多60个字)编辑
(3)电阻两端电压等于总电压。电感和电容的电压相等,其大小为总电压的Q倍, 即
点击添加图片描述(最多60个字)编辑
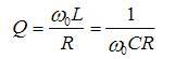
式中Q为串联谐振电路的晶质因数,其值为
点击添加图片描述(最多60个字)编辑
谐振电路中的品质因数,—般可达100左右。可见,电感和电容上的电压比电源电压大很多倍,故串联谐振也叫做电压谐振,线圈的电阻越小,电路消耗的能量也越小,则表示电路品质好,品质因数高;若线圈的电感量L越大,储存的能量也就越多,而损耗一定时,同样也说明,电路品质好,品质因数高。所以在电子技术中,由于外来信号微弱,常常利用串联谐振来获得一个与信号电压频率相同,但大很多倍的电压。
(4)谐振时,电能仅供给电路电阻的消耗,电源电路间不发生能量转换,而电感与电容间进行着磁能和电能的转换。
三、串联谐振的应用
在收音机中,常利用串联谐振电路来选择电台信号,这个过程叫做调谐,如图8-21(a)所示。图8-21(b)是它的等效电路。
点击添加图片描述(最多60个字)编辑
当各种不同频率信号的电波在天线上产生感生电流时,电流经过线圈L1感应到线圈L2。如果振荡电路对某一信号频率发生谐振时,回路中该信号的电流最大,则在电容器两端产生一高于此信号电压Q倍的电压CU。而对于其它各种频率的信号,因为没有发生谐振,在回路中电流很小,从而被电路抑制掉。所以,可以改变电容C,以改变回路的谐振频率来选择所需耍的电台信号。
各种大型电力变压器、电力电缆、汽轮及水轮发电机及其它容性设备的交流耐压试验都必须严格按试验规程定期进行。在工频条件下,由于被试品电容量较大,或者试验电压要求较高,对试验装置的电源容量相应的也有较高的要求,传统的工频耐压装置往往单件体积大,重量重,不便于现场搬运,而且不便于任意组合,灵活性较差。比较好的方法是采用串联谐振的方法进行耐压试验。谐振装置既可满足高电压、小电流的设备试验条件要求,又可满足低电压、大电流的设备试验条件要求,具有较宽的适用范围
谐振装置工作原理
谐振装置主要由变频控制器,励磁变压器,高压电抗器,高压分压器等组成。变频控制器又分两大类,20KW及以上为控制台式,20KW以下为便携箱式;它由控制器和滤波器组成。变频控制器主要作用是把幅值和频率都固定的380V或200V工频正弦交流电转变为幅值和频率可调的正弦波。并为整套设备提供电源。励磁变压器的作用是将变频电源输出的电压升到合适的试验电压。高压电抗器L是谐振回路重要部件,当电源频率等于1/(2π√LCX)时,它与被试品CX发生串联谐振。
谐振装置工作原理图
点击添加图片描述(最多60个字)编辑
例:35kV/300mm2电缆1000m,电容量≤0.19μF,试验频率为30-300Hz,试验电压52kV。频率取43Hz,
试验电流I=2πfCU试 =2π×43×0.19×10-6×52×103=2.7A
对应电抗器电感量 L=1/ω2C=72H
设计六节电抗器,电抗器单节为45kVA/45kV/1A/108H,通过单独或组合使用能输出90kV,180kV,和270kV,系统总容量为270kVA。
谐振装置电抗器使用关系表
|
设备组合 被试品对象 |
电抗器 45kVA/45kV六节 |
激励变压器输出端选择 |
|
35kV/300mm2 电缆1000m |
使用电抗器二节串联三组并联 |
3kV |
总结:35kV/300mm2电缆1000m的选型结果是XZB-270kVA/270kV/45kV
调频式串联谐振试验装置。
谐振装置采用多级叠加的方式,多台电抗器可并联、串联使用,分压器既用来测量试验电压,也可以作为 小电容量试品的补偿电容,使得谐振频率可以在30~300Hz范围内完成多种电力设备的交流耐压试验。

服务理念
湖北中试高测电气控股有限公司始终坚持"精心打造精品、优质回报客户"的宗旨,并严格执行《售后服务承诺书》,我们深信优质、系统、全面、快捷的服务是事业发展的基础。建立完善的销售服务机制,将销售服务工作纳入企业管理范畴,坚持常抓不懈;
主动服务
公司作为领先高新技术企业是电力检测仪器和高压试验设备的研制厂商,是电力、水利、石油、铁路、矿山等相关领域试验解决方案产品的供应商。用心去感知,帮助客户降低成本、提高效率。满足客户的服务期望,不断引导、开发和创造客户消费需求;
差异化服务
公司细分供电系统、发电系统、用电单位和科研院所等,精心设计针对性营销服务方案,打造具有竞争力的客户和业务品牌。秉承"服务为本、诚信经营"的方针,完善服务系统,加强售前、售中、售后服务,对不同地域客户在诸多现场使用产品出现的各种问题及时帮助解决,使用户感到极大方便;
高效服务
高效的服务为公司迎来效益,同时我们以服务促发展,以客户为中心的服务体系,建立健全营销渠道,优化服务流程,改善支撑手段,赢得了广大客户的信任,产品和服务赢得至高市场荣誉;
优质服务
公司推崇5S服务理念,引领服务先进理念,以亲和、细致的服务感动客户,尊重客户,理解客户,持续提供超越客户期望的产品与服务,竭尽所能诚信天下,做客户们永远的伙伴。
服务流程
我们严格执行《售后服务承诺书》,我们深信优质、系统、全面、快捷的服务是事业发展的基础。经过多年的不断探索和进取,我们形成了"以客户为核心、以质量为企业的第一生命"的服务理念。并以严格的管理、先进的技术创建国内一流的服务企业为目标,制定了规范管理制度,严格过程控制,保证产品质量,达到顾客满意的质量方针,坚持"用户第一"的原则,构建良好的销售服务体系,为客户提供优质的售前、售中及售后服务!
1. 尊敬的的用户,不论您有何种需求:只要您拨打湖北中试高测电气控股有限公司统一服务热线 027-83982728 剩下的事有我们来做;
2. 我们的服务专员将会给您提供专业的产品咨询和技术解答;
3. 了解您的诉求,建立产品服务记录,并与您协商确定售后服务方式;
4. 如有需要,我们会第一时间安排专业的技术工程师按与您约定的时间准时到达试验现场;
5. 工程师将向您详细地讲解产品的工作原理和实验操作步骤;
6. 工程师将现场指导您完成整个试验过程,并对您提出的技术问题给予专业的解答;
7. 工程师还会为您购买的武汉中试产品进行全面检测,如有故障,将一并解决;
8. 服务完成后请您对我们的服务提出宝贵的意见或建议,服务信息将同步到售后服务中心;
9. 售后服务中心将积极跟进服务进度,并定期跟踪回访。
售后服务承诺书
一、售前服务承诺
1. 提供专业咨询。在2小时之内答复您提出的专业技术问题;
2. 提供详细资料。在4小时之内将您所需要的技术资料邮出,并争取您能在两日内收到;
3. 提供合理报价。在2小时之内为您提供合理报价;
4. 提供考察接待。随时接待您的考察,并尽力为您的考察工作提供各种便利条件。
二、售中服务承诺
1. 采用全国统一的《工业品买卖合同》与您签订合同和技术协议;
2. 自觉遵守合同法的规定,确保合同及技术协议顺利履行;
3. 竭力按时按量为您提供优质产品,并采用最优运输方式,确保您收到货物完好无缺;
4. 积极与使用人员沟通,尊重用户安排,为用户提供周到的技术支持;
5. 按合同的规定为您提供送检、安装、调试及培训等服务;
6. 无论合同大小,所有客户在价格及服务方面都是公平的。
三、售后限时服务承诺
1. 我们将按照客户的要求提供相关的技术培训和技术资料;
2. 产品有质量问题,三年免费保修,终生维护,有合同约定的按合同约定;
3. 我们保证在15分钟内进行电话指导,由您自行排除设备的简单故障;
4. 对于10公斤以下的仪器,在两日内排除故障或提供新的设备供您暂时使用,直到损坏设备修好为止;
5. 对于10公斤以上的仪器,在三日内排除故障或提供新的设备供您暂时使用,直到损坏设备修好为止;
6. 我们对所销售的设备3年免费维护,终生维修,长期提供备品备件,软件免费升级,有合同约定的除外。
服务相关说明
1. 我公司愿为用户提供各种技术咨询,当好参谋,并提供有关技术资料,如产品样本、图片、产品说明书;
2. 对于用户来电、来函及来人询价访问,我公司将热情接待,及时给予答复;
3. 我公司配有送货专车,对于客户确定合作之后,我们会选择合理的物流送货方式将产品安全送达规定地点;
4. 产品在运送过程中,如果由于运输原因,致使产品损坏,我公司将与用户协商解决办法,直到达到用户满意为止;
5. 产品在货物送达时,经验货如果发现有漏货、错货或短货等数量上问题,在接到通知后,将立即派人到现场进行服务和处理;
6. 在用户使用过程中,如果发现由于我公司方面的责任引起的产品质量问题,我公司在接到通知后,保证在1小时内作出答复;对需要派工程师处理的,保证立即指派技术人员到达现场排除问题,不需要到现场服务的,一定当好参谋,为用户提供最佳处理方案;
7、我公司派人到用户现场服务的,应与用户电话商定到达日期,假如由于某种客观原因,不能如期到达,必须事前通知用户,并说明原因或采取相应措施,保证用户不受损失或把损失降到最低程度。