冲击电压发生器的功能和冲击电压波形
1.电力设备遭受大气过电压(雷电)时的绝缘性能;
2.电气设备遭受操作过电压的绝缘性能;
按照试验标准并考虑足够裕度,冲击电压发生器的标称电压与被试设备的额定电压之间的关系满足下表,下限值供形式试验需要,上限值供试验研究用。
了解了背景知识后,接下来,我们开始步入正题,讲冲击耐压试验的两种类型。
一、单级冲击电压发生器
01单级冲击电压发生器的原理
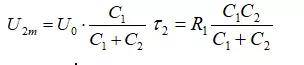
如图C2: 被试品、测量球间隙、电容分压器和高压引线对地电容的总和
图中原理
1.调整调压器的输出可以改变电容C1的充电电压;
2.调整电阻R1和R2可以改变输出波形;
3.放电球隙G的放电电压根据C1的充电电压和输出电压的要求进行调整;
4.由于受到高压硅堆和电容器额定电压的限制,同时也考虑放电球隙的直径不宜过大,一般单级冲击电压发生器的最高输出幅值不超过200~300kV ;
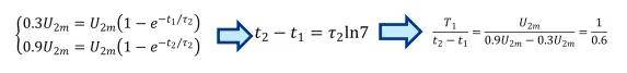
02波头时间
图为一台电容器向另一台电容器充电电路及电压波形
图中:
由此得出:
冲击波头
图中:
其中:
03波尾时间
冲击波尾
图为形成原理及波形
图中:
图为冲击电压产生电路(高效回路)
过程:首先C1充电,然后合上开关,C1经R1向C2充电,形成波头同时C1和C2经过电阻R2放电,形成波尾。C1>>C2,C2和R1为波头电容和电阻,C1和R2为波尾电容和电阻。
图为单级冲击电压发生器的另两种电路形式
左图中:
二、多级冲击电压发生器
01多级冲击电压发生器的原理
图为并联充电、串联放电
操作步骤
1.调整球隙距离,使G1的放电电压为U0,G2~G4的放电电压在U0~2U0范围内;
2.对各个电容器同时充电到U0;
3.G1首先击穿(点火球隙),导致G2~G4依次击穿;
4.各个电容器串联对C2和R2放电,在输出端获得幅值很高的冲击电压 ;
关键是杂散电容来不及放电
杂散电容放电的快慢
取决于杂散电容和放电电阻R的大小
为确保各级球隙顺利放电
可采取措施增大杂散电容
02触发球间隙
1-铜球,2-端部有孔的铜球,3-触发电极,4-瓷、胶木等绝缘材料
(1)高压触发脉冲的极性与充电电压的极性相反。主间隙G首先击穿,引发间隙g击穿,从而使电极1和2之间放电。
(2)高压触发脉冲的极性与充电电压的极性相同。间隙g首先击穿,引发主间隙G击穿,从而使电极1和2之间放电。
当冲击电压发生器各个电容充电完毕后,利用另外一个回路产生一个电压较低的脉冲电压,使电极3产生火花,引起G和g击穿。
2000kV冲击电压发生器
03操作电压的产生(利用冲击电压发生器或变压器)
非周期性双指数操作波
1通过调节冲击电压发生器的波头、波尾电阻,利用冲击电压发生器可以产生双指数操作冲击波。
2由于波头和波尾电阻值已经大为增加,在波头时间内,电容对波尾电阻的放电不能忽略,C2上的输出电压峰值与C1的充电电压值相差较大,冲击发生器效率已经大为下降。
衰减振荡波
1利用电容器对变压器原方绕组放电产生。
2特别适用于电力变压器的现场试验,电力变压器既是被试品,又起试验变压器的作用。

服务理念
湖北中试高测电气控股有限公司始终坚持"精心打造精品、优质回报客户"的宗旨,并严格执行《售后服务承诺书》,我们深信优质、系统、全面、快捷的服务是事业发展的基础。建立完善的销售服务机制,将销售服务工作纳入企业管理范畴,坚持常抓不懈;
主动服务
公司作为领先高新技术企业是电力检测仪器和高压试验设备的研制厂商,是电力、水利、石油、铁路、矿山等相关领域试验解决方案产品的供应商。用心去感知,帮助客户降低成本、提高效率。满足客户的服务期望,不断引导、开发和创造客户消费需求;
差异化服务
公司细分供电系统、发电系统、用电单位和科研院所等,精心设计针对性营销服务方案,打造具有竞争力的客户和业务品牌。秉承"服务为本、诚信经营"的方针,完善服务系统,加强售前、售中、售后服务,对不同地域客户在诸多现场使用产品出现的各种问题及时帮助解决,使用户感到极大方便;
高效服务
高效的服务为公司迎来效益,同时我们以服务促发展,以客户为中心的服务体系,建立健全营销渠道,优化服务流程,改善支撑手段,赢得了广大客户的信任,产品和服务赢得至高市场荣誉;
优质服务
公司推崇5S服务理念,引领服务先进理念,以亲和、细致的服务感动客户,尊重客户,理解客户,持续提供超越客户期望的产品与服务,竭尽所能诚信天下,做客户们永远的伙伴。
服务流程
我们严格执行《售后服务承诺书》,我们深信优质、系统、全面、快捷的服务是事业发展的基础。经过多年的不断探索和进取,我们形成了"以客户为核心、以质量为企业的第一生命"的服务理念。并以严格的管理、先进的技术创建国内一流的服务企业为目标,制定了规范管理制度,严格过程控制,保证产品质量,达到顾客满意的质量方针,坚持"用户第一"的原则,构建良好的销售服务体系,为客户提供优质的售前、售中及售后服务!
1. 尊敬的的用户,不论您有何种需求:只要您拨打湖北中试高测电气控股有限公司统一服务热线 027-83982728 剩下的事有我们来做;
2. 我们的服务专员将会给您提供专业的产品咨询和技术解答;
3. 了解您的诉求,建立产品服务记录,并与您协商确定售后服务方式;
4. 如有需要,我们会第一时间安排专业的技术工程师按与您约定的时间准时到达试验现场;
5. 工程师将向您详细地讲解产品的工作原理和实验操作步骤;
6. 工程师将现场指导您完成整个试验过程,并对您提出的技术问题给予专业的解答;
7. 工程师还会为您购买的武汉中试产品进行全面检测,如有故障,将一并解决;
8. 服务完成后请您对我们的服务提出宝贵的意见或建议,服务信息将同步到售后服务中心;
9. 售后服务中心将积极跟进服务进度,并定期跟踪回访。
售后服务承诺书
一、售前服务承诺
1. 提供专业咨询。在2小时之内答复您提出的专业技术问题;
2. 提供详细资料。在4小时之内将您所需要的技术资料邮出,并争取您能在两日内收到;
3. 提供合理报价。在2小时之内为您提供合理报价;
4. 提供考察接待。随时接待您的考察,并尽力为您的考察工作提供各种便利条件。
二、售中服务承诺
1. 采用全国统一的《工业品买卖合同》与您签订合同和技术协议;
2. 自觉遵守合同法的规定,确保合同及技术协议顺利履行;
3. 竭力按时按量为您提供优质产品,并采用最优运输方式,确保您收到货物完好无缺;
4. 积极与使用人员沟通,尊重用户安排,为用户提供周到的技术支持;
5. 按合同的规定为您提供送检、安装、调试及培训等服务;
6. 无论合同大小,所有客户在价格及服务方面都是公平的。
三、售后限时服务承诺
1. 我们将按照客户的要求提供相关的技术培训和技术资料;
2. 产品有质量问题,三年免费保修,终生维护,有合同约定的按合同约定;
3. 我们保证在15分钟内进行电话指导,由您自行排除设备的简单故障;
4. 对于10公斤以下的仪器,在两日内排除故障或提供新的设备供您暂时使用,直到损坏设备修好为止;
5. 对于10公斤以上的仪器,在三日内排除故障或提供新的设备供您暂时使用,直到损坏设备修好为止;
6. 我们对所销售的设备3年免费维护,终生维修,长期提供备品备件,软件免费升级,有合同约定的除外。
服务相关说明
1. 我公司愿为用户提供各种技术咨询,当好参谋,并提供有关技术资料,如产品样本、图片、产品说明书;
2. 对于用户来电、来函及来人询价访问,我公司将热情接待,及时给予答复;
3. 我公司配有送货专车,对于客户确定合作之后,我们会选择合理的物流送货方式将产品安全送达规定地点;
4. 产品在运送过程中,如果由于运输原因,致使产品损坏,我公司将与用户协商解决办法,直到达到用户满意为止;
5. 产品在货物送达时,经验货如果发现有漏货、错货或短货等数量上问题,在接到通知后,将立即派人到现场进行服务和处理;
6. 在用户使用过程中,如果发现由于我公司方面的责任引起的产品质量问题,我公司在接到通知后,保证在1小时内作出答复;对需要派工程师处理的,保证立即指派技术人员到达现场排除问题,不需要到现场服务的,一定当好参谋,为用户提供最佳处理方案;
7、我公司派人到用户现场服务的,应与用户电话商定到达日期,假如由于某种客观原因,不能如期到达,必须事前通知用户,并说明原因或采取相应措施,保证用户不受损失或把损失降到最低程度。